Magnetic Fields in Cosmology


Home Page
Primordial Magnetic Fields
Production
Evolution cosmology
Evolution LSS
Detection of Magnetic Fields
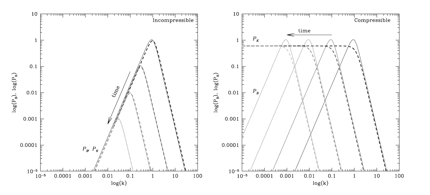
The evolution of causal magnetic field spectra for incompressible fluid motions, compressible fluids and for the fully helical case are shown in Fig. 1 and Fig.2 in the simple case where all components are in equipartition.
Fig. 1: Evolution magnetic field from ref. (1).

In the incompressible case, even though the correlation scale is growing, there is no "inverse cascade" in the sense that no power is transferred from small to larger scales.
Fig. 2: Evolution helical magnetic field ref. (1).
The growth of ¦ËB is simply due to the loss of small scale power by dissipation. On large scales, ¦Ë > ¦ËB the power spectrum is not affected. This is sometimes called ¡¯passive growth¡¯. This is different for the compressible and the helical cases. There, the power spectrum grows on scales ¦Ë > ¦ËB and decreases on scales ¦Ë < ¦ËB which is what we call an inverse cascade.
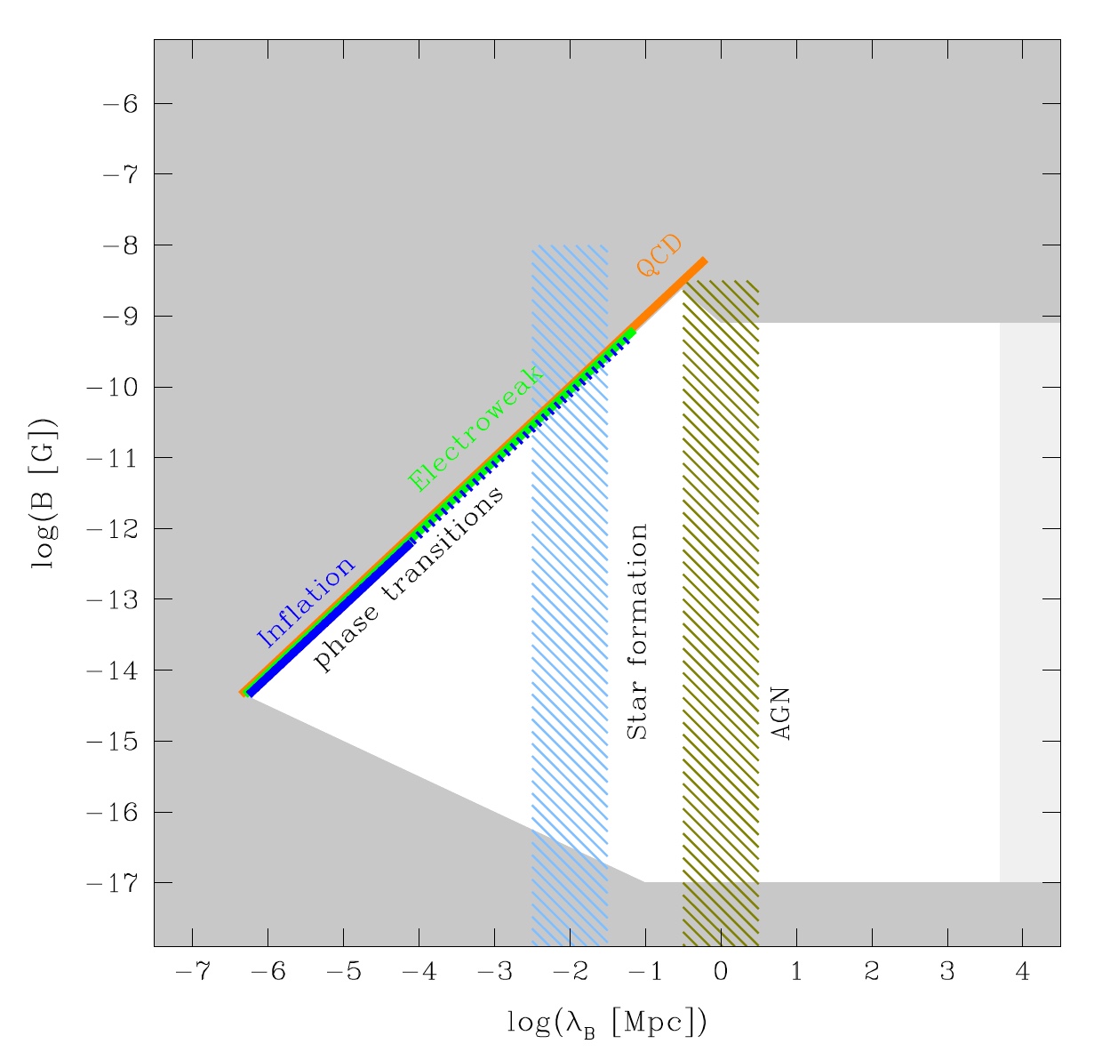
Fig. 3: Cosmological magnetic fields in present time from ref. (1).
After standard evolution in hot Universe final cosmological magnetic fields are present in Fig.3 (see (1) and (2) for details).





References:


(1) R.Durrer, A.Neronov, A and A. Rv. 21 (2013) 62 .
(2) Banerjee R, Jedamzik K (2004) Phys Rev D 70,123003





dates of project April 1 , 2020 - March 31, 2023
Acknowledgments 

Financial support of this Project was provided in part by 

- ANR, France

- RSF, Russia