next up previous
Next: Caractérisation Up: Existence, unicité et caractérisation Previous: Existence, unicité et caractérisation

Semi-noyau et sous-espace semi-hilbertien

Notons par $X_{{\mathrm{rot\,}}}$, $X_{{\mathrm{div\,}}}$ les tenseurs suivants :
$\displaystyle v_{m+1}=\frac{-\vert\cdot\vert^{2m-1}}{4\pi\left(2m\right)!}$ vérifie : $\triangle^{m+1}v_{m+1}=\delta \mbox{ dans } {\cal D}'\left({\rm I\!R}^3\right)$

  
$\displaystyle X_{{\mathrm{rot\,}}}$ = $\displaystyle \left(-1\right)^m \nabla^2 v_{m+1}$  
       
  = $\displaystyle \left(-1\right)^m \left(
\begin{array}{ccc}
\partial^2_{1,1}v_{m+...
...}v_{m+1} & \partial^2_{2,3}v_{m+1} & \partial^2_{3,3}v_{m+1}
\end{array}\right)$ (1)
       
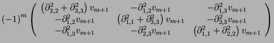
$\displaystyle X_{{\mathrm{div\,}}}$ = $\displaystyle \left(-1\right)^m\left(\triangle v_{m+1}\cdot I_3-X_{{\mathrm{rot\,}}}\right)$  
       
  = $\displaystyle \left(-1\right)^m\left(
\begin{array}{ccc}
\left(\partial^2_{2,2}...
...m+1} & \left(\partial^2_{1,1}+\partial^2_{2,2}\right)v_{m+1}
\end{array}\right)$  

Théorème 1   $D^{-m}L^2_{{\mathrm{div\,}}=0}$ muni du semi-produit scalaire $\left({\mathrm{rot\,}}\cdot,{\mathrm{rot\,}}\cdot\right)_{m-1}$ est un sous-espace semi-hilbertien de ${\cal C}^0\left({\rm I\!R}^3;{\rm I\!R}^3\right)$.
$D^{-m}L^2_{{\mathrm{rot\,}}=0}$ muni du semi-produit scalaire $\left({\mathrm{div\,}}\cdot,{\mathrm{div\,}}\cdot\right)_{m-1}$ est un sous-espace semi-hilbertien de ${\cal C}^0\left({\rm I\!R}^3;{\rm I\!R}^3\right)$.

Théorème 2   Soit ${\cal N}_{{\mathrm{rot\,}}}^\bot$ l'espace des mesures orthogonales à ${\mathrm{rot\,}}{\rm I\!P}_{m}\left({\rm I\!R}^3;{\rm I\!R}^3\right)$. Soit $X_{{\mathrm{div\,}}}$ le tenseur défini en (2). L'application ${\cal H}_{{\mathrm{div\,}}}$ de $\left({\cal C}^0\left({\rm I\!R}^3;{\rm I\!R}^3\right)\right)'$ dans ${\cal C}^0\left({\rm I\!R}^3;{\rm I\!R}^3\right)$ définie par

\begin{displaymath}{\cal H}_{{\mathrm{div\,}}}:\quad \mu=\left(\mu_1,\mu_2,\mu_3...
..._{{\mathrm{div\,}}}\left(\mu\right)=X_{\mathrm{div\,}}\star \mu\end{displaymath}

est un semi-noyau de $\left(D^{-m}L^2_{{\mathrm{div\,}}=0},\left({\mathrm{rot\,}}\cdot,{\mathrm{rot\,}}\cdot\right)_{m-1}\right)$ relatif à ${\cal C}^0\left({\rm I\!R}^3;{\rm I\!R}^3\right)$ c'est-à-dire : $\forall \mu\in {\cal N}_{{\mathrm{rot\,}}}^\bot\cap \left({\cal C}^0\left({\rm I\!R}^3;{\rm I\!R}^3\right)\right)',\,\forall x\in D^{-m}L^2_{{\mathrm{div\,}}=0}$,

\begin{eqnarray*}<\mu,x>=\left({\mathrm{rot\,}}\left( X_{\mathrm{div\,}}\star \mu\right),{\mathrm{rot\,}}x\right)_{m-1}
\end{eqnarray*}


Théorème 3   Soit ${\cal N}_{{\nabla}}^\bot$ l'espace des mesures orthogonales à $\nabla {\rm I\!P}_{m}\left({\rm I\!R}^3\right)$. Soit $X_{{\mathrm{rot\,}}}$ le tenseur défini en (1). L'application ${\cal H}_{{\mathrm{rot\,}}}$ de $\left({\cal C}^0\left({\rm I\!R}^3;{\rm I\!R}^3\right)\right)'$ dans ${\cal C}^0\left({\rm I\!R}^3;{\rm I\!R}^3\right)$ définie par

\begin{displaymath}{\cal H}_{{\mathrm{rot\,}}}:\quad \mu=\left(\mu_1,\mu_2,\mu_3...
..._{{\mathrm{rot\,}}}\left(\mu\right)=X_{\mathrm{rot\,}}\star \mu\end{displaymath}

est un semi-noyau de $\left(D^{-m}L^2_{{\mathrm{rot\,}}=0},\left({\mathrm{div\,}}\cdot,{\mathrm{div\,}}\cdot\right)_{m-1}\right)$ relatif à ${\cal C}^0\left({\rm I\!R}^3;{\rm I\!R}^3\right)$.


next up previous
Next: Caractérisation Up: Existence, unicité et caractérisation Previous: Existence, unicité et caractérisation

2001-02-17