next up previous
Next: Spline d'interpolation à rotationnel Up: Applications numériques Previous: Applications numériques

Spline d'interpolation à divergence nulle

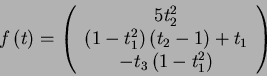
Nous nous proposons d'interpoler le champ à divergence nulle f défini par

\begin{displaymath}f\left(t\right)=\left(\begin{array}{c} 5t_2^2\\ \left(1-t_1^2...
...(t_2-1\right)+t_1\\ -t_3\left(1-t_1^2\right) \end{array}\right)\end{displaymath}

On interpole avec $5\times 3 \times 3$ points régulièrement répartis sur la grille $[-1,3]\times[-1,1]^2$. La figure 1 représente la coupe en t3=0 du champ f. Les points d'interpolation appartenant à cette coupe sont représentés par des étoiles. Les courbes fines sont différentes lignes de courant de ce champ. La courbe épaisse est la seule ligne de courant calculée en un point appartenant aux points d'interpolation. Les figures 2 et 3 représentent respectivement la coupe en t3=0, des champs f, $\sigma _{2,1}$ ainsi que certaines lignes de courant. Toutes les lignes de courant sont calculées par rapport aux mêmes points de départ.         Commentaires Si l'on regarde globalement ces trois figures sans les lignes de courant, il nous semble que la spline `` plaque-mince '' (figure 2) donne de bons résultats. Seule une étude plus fine (représentation graphique plus locale pour éviter la mise à l'échelle due à quiver3 nous permet de constater qu'il n'en est rien. En particulier, nous obtenons de très mauvais résultats si on regarde les lignes de courant qui sont très différentes de celle du champ théorique f. Seule la ligne de courant évaluée au point d'interpolation $\left(1,-1,0\right)$ (figure 2) est acceptable bien qu'elle passe par le point $\left(2,0.68,0\right)$ : la ligne de courant du champ théorique passe quand à elle par le point $\left(2,0.82,0\right)$ (figure 1). La spline $\sigma_{2,{\mathrm{div\,}}}$ (figure 3) donne de bien meilleurs résultats et ceci avec très peu de points d'interpolation (45 points sur $[-1,3]\times[-1,1]^2$). La ligne de courant évaluée en un point d'interpolation donne de très bons résultats. On passe par le point $\left(2,0.8,0\right)$ qui est très proche du point $\left(2,0.82,0\right)$ (figure 1).
  
Figure 1: Champ f théorique à divergence nulle
Figure: Champ $\sigma _{2,1}$ avec 45 données interpolant f
\includegraphics[width=13cm,height=10cm]{theo_jeu22_courant.eps}
\includegraphics[width=13cm,height=10cm]{plaque_mince_jeu22_courant.eps}




 
Figure: Champ $\sigma_{2,{\mathrm{div\,}}}$ avec 45 données interpolant f
\includegraphics[width=13cm,height=10cm]{spline_div0_jeu22_courant.eps}




next up previous
Next: Spline d'interpolation à rotationnel Up: Applications numériques Previous: Applications numériques

2001-02-17