Detectability of ringdown for high mass SMBH [1.5 yr]
FoM
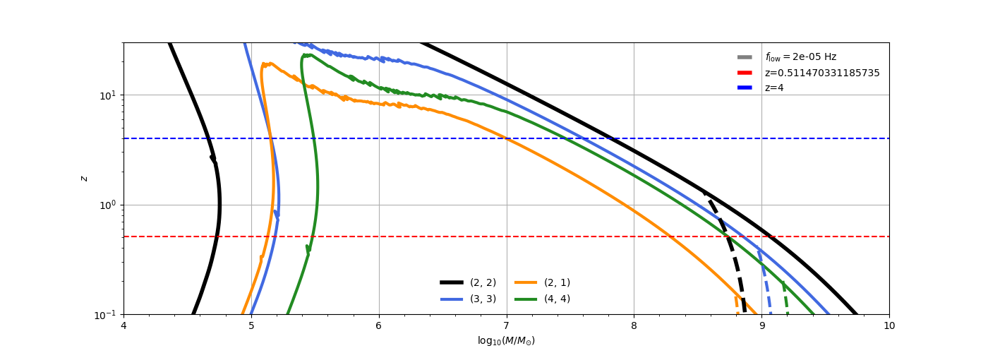
Science investigation and Observational requirement: SI5.1 OR5.1 from Science requirement document.
Compute the maximum remnant mass \(M_{max}\) such that at least three RD modes are detectable with \(SNR>8\).
- OK 5.41 [1 4 10] : Detectability of ringdown for high mass SMBH at 3Gpc (units \(10^8 M_{\odot}\)).
Capability to detect 3 ringdown modes of a source with mass > \(4\cdot 10^8 M_{\odot}\) total mass
- OK 9.6 [1 5 10] : Detectability of ringdown for high mass SMBH at z=4 (units \(10^7 M_{\odot}\)).
Capability to detect 3 ringdown modes of a source with mass > \(5 \cdot 10^7 M_{\odot}\) total mass.
Summary
We use low frequency cutoff 2e-05 Hz, and merging MBHB binary of mass ratio 2.0 and using the SNR threshold 8.0
\(M_{max}\) at 3Gpc
We should be able to detect at z 0.511470331185735 least three modes with:
- \(M_{max} > 10 \cdot 10^8\) (blue)
- \(M_{max} > 4 \cdot 10^8\) (green)
-
\(M_{max} > 1 \cdot 10^8\) (yellow)
-
The range of masses for 22 mode is [ 5.22e+04 - 5.41e+08 ] \(M_{\odot}\)
-
The range of masses for 33 mode is [ 1.48e+05 - 8.59e+08 ] \(M_{\odot}\)
-
The range of masses for 21 mode is [ 1.28e+05 - 4.75e+08 ] \(M_{\odot}\)
-
The range of masses for 44 mode is [ 2.88e+05 - 1.17e+09 ] \(M_{\odot}\)
\(M_{max}\) at z=4
We should be able to detect at z=4least three modes with:
- \(M_{max} > 10 \cdot 10^7\) (blue)
- \(M_{max} > 5 \cdot 10^7\) (green)
-
\(M_{max} > 1 \cdot 10^7\) (yellow)
-
The range of masses for 22 mode is [ 4.38e+04 - 1.63e+08 ] \(M_{\odot}\)
-
The range of masses for 33 mode is [ 1.29e+05 - 1.27e+08 ] \(M_{\odot}\)
-
The range of masses for 21 mode is [ 1.18e+05 - 3.39e+07 ] \(M_{\odot}\)
-
The range of masses for 44 mode is [ 2.63e+05 - 9.60e+07 ] \(M_{\odot}\)

Horizon distance

Horizon distance with freq. limit
Detailed results
Input parameters
- log : log/SO5_ringdown_horizon.log
- config : config.yml
- subconfig :
- duration : 1.5 yr
- duty_cycle : 1
- armlength : 2500000000.0 m
- noise : SciRDv1_redbook/noise_background_1.5_yr.npy
- show : False
- fast : 0
- tdi2 : 1
- freqs : [2e-05, 1]
- force_duration : 1.5_yr
- report : SciRDv1_redbook/report_SO5a_ringdown_horizon.md