Jaime DAWSON


Neutrino Oscillation and Double Chooz

Neutrino oscillation has been clearly established via the study of solar, astmospheric, reactor and beam neutrinos. Combination of these results requires the existence of (at least) three-neutrino mixing. In the current view, the PMNS mixing matrix relates the three neutrino mass eigenstates to the three neutrino flavour eigenstates parameterized by three mixing angles sin2(2θ13) is θ12, θ13 and θ23 and one CP violating phase δ_cp (for Dirac neutrinos). Great progress has been made in measuring the mixing angles and the two squared mass differences Δ m^2_{ij} = m^2_i - m^2_j.
The reactor anti-neutrino experiments; Daya Bay, Double Chooz and RENO, have been incredibly successful. Since the first hint by Double Chooz of θ13 in 2011, which was larger than expected, the value of sin2(2θ13) has been now measured by the three experiments to be 0.082 +/- 0.004, 0.11 +/-0.018 and 0.101 + 0.013 respectively.
These results are of great interest to the neutrino community as the future direction of the field of neutrino oscillations is in some way governed by the size of θ13. As these experiments show that θ13 is not too small, the remaining unknowns, CP violation and mass hierarchy, could be within reach of existing and future planned experiments.
Reactor experiments provide a direct and simple means towards a measurement of θ13, searching for the disappearance of electron anti-neutrinos emitted from the cores of the nuclear reactors. They suffer less from parameter degeneracies than long baseline accelerator experiments, being independent of δ_cp and the sign of Δ m_31 and having only a weak dependence of Δ m^2_21. Since the neutrino energies are low, ~1 to 10 MeV, and the detectors are positioned at short distances, there are no matter effects.
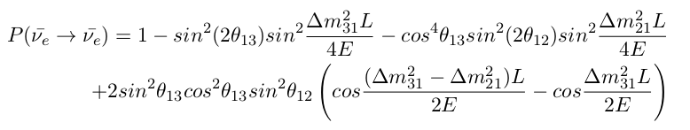
This equation gives the survival probability of a \bar{ν_e} from a reactor, where E is the neutrino energy and L is the distance from the source to the detector.
For short baselines only the first two terms are relevant. With a well positioned detector (such that L/E is ~0.3 km/MeV), an observed deficit of neutrinos indicates a non-zero value of θ13.
The Double Chooz experiment is located at Chooz, the same site as the original Chooz experiment, in the Champagne-Ardennes region in France. The site contains two closely neighbouring nuclear reactors each with a thermal power of 4.27 GW. The Double Chooz concept is to use two identical detectors; one near, to effectively measure the neutrino spectrum and flux from the reactor, and one far, to observe any neutrino disappearance.
The far detector is located in the same underground laboratory as the original Chooz experiment (1 km from the two cores). This site is perfect; an ideal L/E of 0.3 MeV/km and the experimental background rate i.e. from muons, neutrons and rock radioactivity etc are already well measured with reactor-off data. The near detector underground laboratory is 400m from the two reactors, and started data taking at the end of 2014.
The Double Chooz group at laboratoire APC is the lead group of Double Chooz (spokesperson Herve de Kerret) with heavy responsibilities in engineering, installation, electronics, online, simulation and analysis.